UGC NET Paper1 Previous Year Solved Papers - 3rd December 2019 Morning Shift

Avatto > > UGC NET PAPER 1 > > UGC NET Paper1 Previous Year Solved Papers > > 3rd December 2019 Morning Shift

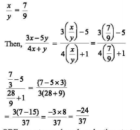
21. If x : y = 7: 9, then 3x-5y : 4x+y = ?

Cancel reply

Your email address will not be published. Required fields are marked *


Cancel reply

Your email address will not be published. Required fields are marked *


22. Which of the following evaluation systems belongs to the category of being an innovative practice?

  • Option : D
  • Explanation : OBE or outcome-based evaluation starts with clear definition of learning outcomes to be achieved followed by designing of curriculum and instruction on the same lines and assessment based on that to make sure the planned outcomes have been achieved or desired learning ultimately has happened. This is an innovative practice. The others mentioned are the traditional ones.
Cancel reply

Your email address will not be published. Required fields are marked *


Cancel reply

Your email address will not be published. Required fields are marked *


23. A sum of money with compound interest becomes Rs 2,400 in one year and Rs 3,000 in two years. Find out the principal amount.

Cancel reply

Your email address will not be published. Required fields are marked *


Cancel reply

Your email address will not be published. Required fields are marked *


24. Hypothesis testing is the main concept of which type of research?

  • Option : A
  • Explanation : The experimental method is a systematic and scientific approach to research in which the researcher manipulates one or more variables, and controls and measures any change in other variables. Hypothesis testing is a statistical analysis of experimental data for making statistical decisions about whether to accept or reject the null hypothesis. Every test in hypothesis testing produces the significance value for that particular test. If the significance value of the test is greater than the predetermined significance level, then the null hypothesis is accepted, if it is less, the null hypothesis is rejected.
Cancel reply

Your email address will not be published. Required fields are marked *


Cancel reply

Your email address will not be published. Required fields are marked *


25. In which of the following propositions, both can be true simultaneously but cannot be false simultaneously?

  • Option : C
  • Explanation : The square of opposition shown below represents the logical relationships between certain propositions in virtue of their form.
    3 dec first shift
    The following hold true:
    I. Two propositions are contradictory when the truth of one implies the falsity of the other, and conversely.
    2. Two propositions are contrary when they cannot both be true.
    3. Two propositions are subcontrary when it is impossible for both to be false.
    4. Two propositions stand in the relation of subalternation when the truth of the first (the superaltern) implies the truth of the second (the subaltern), but not conversely.
Cancel reply

Your email address will not be published. Required fields are marked *


Cancel reply

Your email address will not be published. Required fields are marked *