UGC NET Paper1 Previous Year Solved Papers - 2nd December 2019 Morning Shift

Avatto > > UGC NET PAPER 1 > > UGC NET Paper1 Previous Year Solved Papers > > 2nd December 2019 Morning Shift

6. Which of the following is the key teaching behaviour to make a teacher effective?

  • Option : C
  • Explanation : Engaging students in the learning process is a key teaching behaviour as it ensures students' involvement, generates their interest in knowing more and motivates them to achieve learning outcomes.
    Teacher's comments and/or use of content and process questions are important but do not ensure the above. Using students' ideas encourages and motivates them, but the rider is that students are learners and hence, may not be correct most of the time. Moreover, it might sow the seeds of arrogance in mind students and trigger negative vibes in the classroom environment
Cancel reply

Your email address will not be published. Required fields are marked *


Cancel reply

Your email address will not be published. Required fields are marked *


7. The product of any three consecutive integers is divisible by 6. Therefore, 3 X 4 X 5 (=060), is divisible by 6?Which type of reasoning is embodied here'?

  • Option : A
  • Explanation : Out of three consecutive numbers, one number is atleast even number and atleast one number is divisible by 3. Now any number that are divisible by 2 and 3, must be divisible by 6. Such type of reasoning is called deductive reasoning; Deductive reasoning is a process of reaching a necessary conclusion from given facts or hypothesis.
Cancel reply

Your email address will not be published. Required fields are marked *


Cancel reply

Your email address will not be published. Required fields are marked *


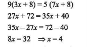
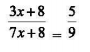
8. Two numbers are in the ratio 3:7. If 8 is added to both the numbers, their ratio becomes 5:9.
The numbers are

  • Option : A
  • Explanation : Let two numbers are 3x and 7x respectively According to the question, 2decfs
    2decfs
Cancel reply

Your email address will not be published. Required fields are marked *


Cancel reply

Your email address will not be published. Required fields are marked *


9. In a thesis 'Format and styles of referencing' have been inappropriately followed, this is an example of

  • Option : A
  • Explanation : Referencing is giving credit, with citation, to the source of information used in one's work. It is done at the end of a thesis in a particular format and style. If it is done inappropriately, it is a technical lapse on the part of the researcher. It however, doesn't undermine the researcher's competency in writing a thesis, nor does it point to lack of commitment. It certainly does not violate ethical concerns.
Cancel reply

Your email address will not be published. Required fields are marked *


Cancel reply

Your email address will not be published. Required fields are marked *


10. When results obtained in a research study can be extended to a group larger than the Sample (outside the context of the study) it is called

  • Option : C
  • Explanation : External validity refers to how generalisable the findings are, which means how well they apply to larger samples of people, or other settings, situations, and time periods.
Cancel reply

Your email address will not be published. Required fields are marked *


Cancel reply

Your email address will not be published. Required fields are marked *