UGC NET Paper1 Previous Year Solved Papers - 5th December 2019 Evening Shift

Avatto > > UGC NET PAPER 1 > > UGC NET Paper1 Previous Year Solved Papers > > 5th December 2019 Evening Shift

36. In a class, there are 60% female students and the remaining are male. 40% of the female students and 70% of the male students have opted for the research methodology course. If in all, 60 students have not opted for the research methodology course, which of the following is the total number of students in the class?

  • Option : B
  • Explanation :
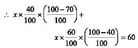
    Percent of male students = (100 - 60) = 40%
    Let total number of students in the class = x
    Now, number of students who have not opted for the research methodology course = 60.
    5Dec19 SS
    0.12x + 0.36x = 60
    x = 60/0.48 = 125
Cancel reply

Your email address will not be published. Required fields are marked *


Cancel reply

Your email address will not be published. Required fields are marked *


37. Which of the following statements fails to indicate the intent of purposive sampling?

  • Option : A
  • Explanation :
    Contrary to option (A), purposive sampling is indeed the fundamental principle for selecting cases and individna1s in qualitative research.
Cancel reply

Your email address will not be published. Required fields are marked *


Cancel reply

Your email address will not be published. Required fields are marked *


38. According to one paradigm of research, following sequence is followed by the researchers:
Theory → Generation of hypotheses → Data collection → Data analysis and results → Hypotheses confirmed or rejected → Revision of theory
This way of conceptualizing research is based on which of the following:

  • Option : B
  • Explanation :
    This is the deductive approach. Inductive approach goes reverse and looks for patterns and then arrives at generalisation and theorizing. Interpretative approach focuses on analytically disclosing meaning making practices, while showing how those practices configure to generate observable outcomes. Qualitative approach focuses on observation to gather non-numerical data to drew meaning
Cancel reply

Your email address will not be published. Required fields are marked *


Cancel reply

Your email address will not be published. Required fields are marked *


39. Schistosomiasis, a common water contact disease, is spread by which of the following?

  • Option : C
  • Explanation :
    Schistosomiasis is a water-based disease which is considered the second most important parasitic infection after malaria in terms of public health and economic impact. Schistosomiasis, also known as bilharzia is a disease caused by parasitic worms, the infectious form of the parasite, known as cercariae, emerge from the snail into the water.
Cancel reply

Your email address will not be published. Required fields are marked *


Cancel reply

Your email address will not be published. Required fields are marked *


40. Consider the following statements:
(A) Earth would be safer without greenhouse effect
(B) Major contribution to the greenhouse effect comes from carbon dioxide
(C) Earth's climate was changing even before man appeared on earth
Which of the above statements are correct?

  • Option : B
  • Explanation :
    Without the greenhouse effect, the Earth's average temperature would be around -18 or -19 degrees Celsius (0 or I degree Fahrenheit). Earth would be locked in an ice age. Because of the greenhouse effect, the Earth's actual average temperature is 14 degrees Celsius (57 degrees Fahrenheit). The gases in the atmosphere that absorb radiation are known as "greenhouse gases" (sometimes abbreviated as GHG). The most significant greenhouse gases are water vapour (H20), carbon dioxide (C02), methane (CH4) and nitrous oxide (N20), according to the Environmental Protection Agency (EPA). The Earth's climate has changed throughout history. Just in the last 650,000 years there have been seven cycles of glacial advance and retreat, with the abrupt end of the last ice age about 11,700 years ago marking the beginning of the modern climate era - and of human civilization.
Cancel reply

Your email address will not be published. Required fields are marked *


Cancel reply

Your email address will not be published. Required fields are marked *