UGC NET Paper1 Previous Year Solved Papers - 5th December 2019 Evening Shift

Avatto > > UGC NET PAPER 1 > > UGC NET Paper1 Previous Year Solved Papers > > 5th December 2019 Evening Shift

21. Select the option that contains only computer input devices

  • Option : D
  • Explanation :
    Monitor and Printer is an output devices whereas Joystick, Keyboard, Mouse and Digitiser are input devices.
Cancel reply

Your email address will not be published. Required fields are marked *


Cancel reply

Your email address will not be published. Required fields are marked *


22. Which of the two following is the correct sequence of greenhouse gases according to their relative global warming potential in increasing order?

  • Option : B
  • Explanation :
    The high global warming potential (GWP) greenhouse gases include hydro fluorocarbons (HFCs), per fluorocarbons (PFCs) and sulphur hexafluoride (SF6). Like other GHGs, these gases trap heat in the atmosphere, but they are hundreds to thousands of times more effective at trapping heat, which leads to greater warming of the planet, compared to carbon dioxide (CO2). The primary greenhouse gases in the atmosphere are water vapor, carbon dioxide, methane, nitrous oxide, and ozone. Water vapour accounts the largest greenhouse effect (90-85%). The CFCs, hydro fluorocarbons (HFCs), hydro chlorofluorocarbons (HCFCs), per fluorocarbons (PFCs), and sulphur hexafluoride (SF6) are referred to as high GWP gases, that is, GWP can be up to tens of thousands. For a given amount of mass, they hold substantially more heat than does CO2.
Cancel reply

Your email address will not be published. Required fields are marked *


Cancel reply

Your email address will not be published. Required fields are marked *


23. Given below are two statements - one is labelled as Assertion (A) and the other is labelled as Reason(R):
Assertion (A): Forests help in improving the air quality of a place.
Reasons (R): Some tree species emit volatile organic compounds (VOCS) such as isoprene which may contribute to formation of tropospheric ozone.
In the light of the above statements choose the correct option:

  • Option : B
  • Explanation :
    Forests improve air quality by absorbing carbon dioxide which traps much more heat from the sun than is required, leading to global warming. So, Assertion (A) is true. Breathing ozone can trigger a variety of health problems including chest pain, coughing, throat irritation, and airway inflammation. It also can reduce lung function and harm lung tissue. Tropospheric ozone is a highly reactive oxidant that significantly reduces crop productivity as well as the uptake of atmospheric carbon by vegetation. It impedes plant growth and seed production, reduces functional leaf area and accelerates ageing. So, Reason (R) is true but does not explain (A).
Cancel reply

Your email address will not be published. Required fields are marked *


Cancel reply

Your email address will not be published. Required fields are marked *


24. Which one of the following factors is a deterrent for the students to do well in higher education?

  • Option : A
  • Explanation :
    Institutions of Higher Education usually have students' council to represent students before the administration. However, these unions invariably have political orientation; they function more or less as the trainee units of those political parties and cannot avoid their interference. All this acts as a deterrent for the students to do well.
Cancel reply

Your email address will not be published. Required fields are marked *


Cancel reply

Your email address will not be published. Required fields are marked *


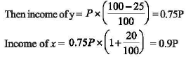
25. If income of X is 20% more than that of Y and income of Y is 25% less than that of Z, then the total income of X. Y and Z are in which of the following ratios?

  • Option : A
  • Explanation :
    Let income of z is P
    5Dec19 SS
    Ratio of incomes of X : Y and Z
    = 0.9 : 0.75 : 1
    = 18 : 15 : 20
Cancel reply

Your email address will not be published. Required fields are marked *


Cancel reply

Your email address will not be published. Required fields are marked *