CTET Solved Paper - CTET September 2015

Avatto > > CTET > > CTET Solved Paper > > CTET September 2015

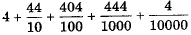
111. The value of is

  • Option : A
  • Explanation : (A)
    = 4 + 4.4 + 4.04 + 0.444 + 0.0004
    = 12.8844
Cancel reply

Your email address will not be published. Required fields are marked *


Cancel reply

Your email address will not be published. Required fields are marked *


112. The smallest value of y in the number 9y8071 so that it is divisible by 11 is

  • Option : C
  • Explanation : (C) We can solve this by using the divisibility rule of 11.
    It states that when the sum of digits at odd and even places are equal or differ by a number divisible by 11, then the number is also divisible by 11.
    For, 9y8071
    Sum of digits at odd places = 9 + 8 + 7 = 24
    Sum of digits at even places = y + 0 + 1 = y + 1
    ⇒ 24 - (y + 1) = 23 - y
    ∴ To make this number divisible by 11, we have to put the value of y as 1.
Cancel reply

Your email address will not be published. Required fields are marked *


Cancel reply

Your email address will not be published. Required fields are marked *


113. (14.96 × 1010) - (3.84 × 108) is expressed in standard form as

  • Option : B
  • Explanation : (B) (14.96) × 1010 - (3.84) × 108
    = (1496) × 108 - (3.84) × 108
    = (1496 - 3.84) × 108
    = 1492.16 × 108
    = 1.49216 × 1011
Cancel reply

Your email address will not be published. Required fields are marked *


Cancel reply

Your email address will not be published. Required fields are marked *


114. The sum of mean, mode and median of the data 6, 3, 9, 5, 1, 2, 3, 6, 5, 1, 3 is

  • Option : C
  • Explanation : (C) 6, 3, 9, 5, 1, 2, 3, 6, 5, 1, 3
    Arranging them in ascending order, we get
    1, 1, 2, 3, 3, 3, 5, 5, 6, 6, 9

    Mode of the data = 3, Median of the data = 3
    ∴ Sum of mean, mode, median = 4+3+3 = 10
Cancel reply

Your email address will not be published. Required fields are marked *


Cancel reply

Your email address will not be published. Required fields are marked *


115. Natural numbers 4 to 15 are written on different slips (one number on one slip), kept in a box and mixed well. Renu picks up one slip from the box without looking into it. What is the probability that this slip bears a prime number?

  • Option : A
  • Explanation : (A) Total number of outcomes = 12
    Favourable number of outcomes (to be a prime number) = 4 (i.e 5, 7, 11, 13)
Cancel reply

Your email address will not be published. Required fields are marked *


Cancel reply

Your email address will not be published. Required fields are marked *