CTET Solved Paper - CTET September 2015

Avatto > > CTET > > CTET Solved Paper > > CTET September 2015

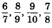
106. The difference between the greatest and smallest fraction amongst is

Cancel reply

Your email address will not be published. Required fields are marked *


Cancel reply

Your email address will not be published. Required fields are marked *


107. The additive inverse of S, where S = 1-2+3-4+5-6+7-8+....+49-50, is

  • Option : D
  • Explanation : (D) S = 1-2+3-4+5-6+7-8+...+49-50
    S = (1+3+5+7+...+49)+(-2-4-6-....-50)
    ⇒ Sum of first n odd numbers = n2
    Sum of first n even numbers = n(n+1)
    ∴ S = (25)2 - (25)(26)
    S = 625 - 650
    S = -25
    ∴ Additive inverse of (-25) is -(-25) = 25
Cancel reply

Your email address will not be published. Required fields are marked *


Cancel reply

Your email address will not be published. Required fields are marked *


108. If a = 3129 × 5128 × 722,
b = 3128 × 5129 × 721,
c = 3127 × 5129 × 723 and
d = 3127 × 5128 × 724, then
HCF of a, b, c and d is

  • Option : B
  • Explanation : (B) HCF of a, b, c and d = 3127 × 5128 × 721
Cancel reply

Your email address will not be published. Required fields are marked *


Cancel reply

Your email address will not be published. Required fields are marked *


109. The value of is

Cancel reply

Your email address will not be published. Required fields are marked *


Cancel reply

Your email address will not be published. Required fields are marked *


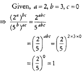
110. The value of , where a = 2, b = 3 and c = 0, is

Cancel reply

Your email address will not be published. Required fields are marked *


Cancel reply

Your email address will not be published. Required fields are marked *