CTET Solved Paper - CTET September 2015

Avatto > > CTET > > CTET Solved Paper > > CTET September 2015

116. A sum of money amounts to ₹ 4818 after 3 yr and ₹ 7227 after 6 yr on compound interest. The sum is

Cancel reply

Your email address will not be published. Required fields are marked *


Cancel reply

Your email address will not be published. Required fields are marked *


117. If the weight of 18 sheets of paper is 50g, how many sheets of the same paper will weigh kg?

  • Option : C
  • Explanation : (C) Weight is 50g for 18 sheets of paper.
    Number of sheets that will weigh kg
Cancel reply

Your email address will not be published. Required fields are marked *


Cancel reply

Your email address will not be published. Required fields are marked *


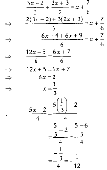
118. If , then the value of is

Cancel reply

Your email address will not be published. Required fields are marked *


Cancel reply

Your email address will not be published. Required fields are marked *


119. If 4x2 + 12xy -8x + 9ysup>2 -12y = (ax + by)(ax + by -4), then the value of asup>2 + bsup>2 is

  • Option : A
  • Explanation : (A) 4x2 + 12xy - 8x + 9y2 - 12y = (ax + by)(ax + by - 4)
    ⇒ (2x)2 + (3y)2 + 2(2x)(3y) - 4(2x + 3y)
    = (ax + by)(ax + by -4)
    ⇒ (2x + 3y)2 - 4(2x + 3y)
    =(ax + by)(ax + by - 4)
    ⇒ (2x + 3y)(2x + 3y - 4)
    = (ax + by)(ax + by - 4)
    ∴ a=2, b=3
    ⇒ a2 + b2 = (2) + (3) = 4 + 9 = 13
Cancel reply

Your email address will not be published. Required fields are marked *


Cancel reply

Your email address will not be published. Required fields are marked *


120. In the product of (5x + 2) and (2x2 - 3x + 5), the sum of the coefficients of x2 and x is

  • Option : D
  • Explanation : (D) (5x + 2 ) × (2x2 - 3x + 5)
    = 10x3 - 15x2 + 25x + 4x2 - 6x + 10
    = 10x3 - 11x2 + 19x + 10
    Coefficient of x2 = -11
    Coefficient of x = 19
    Sum of coefficients of x2 and x = 19 - 11 = 8
Cancel reply

Your email address will not be published. Required fields are marked *


Cancel reply

Your email address will not be published. Required fields are marked *