Refer to the data below and answer the questions that follow.
The variation in the speed of a car on a particular day at the respective times is shown in the table below:
| s(km/hr) | 0 | 40 | 50 | 85 | 10 | 10 |
| t(hr) | 11.00 am | 11.30 am | 1.00 pm | 1.30 pm | 3.30 pm | 4.30 pm |
Refer to the data below and answer the questions that follow.
The variation in the speed of a car on a particular day at the respective times is shown in the table below:
| s(km/hr) | 0 | 40 | 50 | 85 | 10 | 10 |
| t(hr) | 11.00 am | 11.30 am | 1.00 pm | 1.30 pm | 3.30 pm | 4.30 pm |
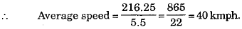
22. Average speed of the car from 11.00 a.m. to 4.30 p.m. is:
Distance travelled from 1.00 pm to 4.30 p.m.
= A(ΔBQRY) + A(ΔBYC) + A(ΔCZD) + A(ΔZRTE)
= 130 + 8.75
= 138.75 km.
Total distance travelled = 77.5 + 138.75
= 216.25 km.

Refer to the graph below and answer the questions that follow.
The engine of the new car Palio brought by Fiat in the
market follows certain mileage characteristics as
shown in the diagram below:
Vijay bought the new car Palio and filled exactly 10
litres in his car. He goes at a speed of 40 km/hr for
first 20 km and then at a speed of 60 km/hr for next 60
km and driving at a constant speed reaches his
destination which was 115 km away from his starting
point.
= 1 hours 56 minutes and 25 seconds.