CTET Solved Paper - UTET April 2015 Paper2

Avatto > > CTET > > CTET Solved Paper > > UTET April 2015 Paper2

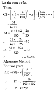
106. The difference between the simple interest and compound interest on a certain, sum of money at 4% per annum for two years is ₹ 10. The sum will be

Cancel reply

Your email address will not be published. Required fields are marked *


Cancel reply

Your email address will not be published. Required fields are marked *


107. X runs twice as fast as Y and Y runs thrice as fast as Z. The distance covered by Z in 72 min, will be covered by X in

Cancel reply

Your email address will not be published. Required fields are marked *


Cancel reply

Your email address will not be published. Required fields are marked *


108. The given Pie-chart shows the marks scored by a student in different subjects in an examination. If the total marks obtained by the student be 648, then marks scored in English, Science and Social Science exceed the marks scored in Hindi and Mathematics by

Cancel reply

Your email address will not be published. Required fields are marked *


Cancel reply

Your email address will not be published. Required fields are marked *


109. The mean of n observations is m. If m2 - m + 1 is added to each observation, what will be the value of new mean?

  • Option : D
  • Explanation : (D) The mean of n observation is m.
    if m2 - m + 1 is added to cach observation, then the mean will increase by m2 - m + 1,
    Then new mean = m + m2 - m + 1
    = (1 + m2)
Cancel reply

Your email address will not be published. Required fields are marked *


Cancel reply

Your email address will not be published. Required fields are marked *


110. The wheel of an engine, 17.5 cm in radius, makes 1200 revolutions in 2 min. Speed of the engine is

Cancel reply

Your email address will not be published. Required fields are marked *


Cancel reply

Your email address will not be published. Required fields are marked *