CTET Solved Paper - UPTET October 2017 Paper2

Avatto > > CTET > > CTET Solved Paper > > UPTET October 2017 Paper2

106. If A's salary is 20% more than that of B, then how much per cent of B's salary less than that of A?

Cancel reply

Your email address will not be published. Required fields are marked *


Cancel reply

Your email address will not be published. Required fields are marked *


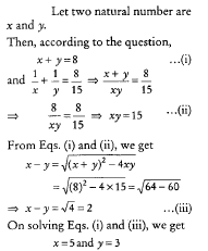
107. The sum of two natural numbers is 8. Determine the numbers if the sum of their reciprocals is 8/15?

Cancel reply

Your email address will not be published. Required fields are marked *


Cancel reply

Your email address will not be published. Required fields are marked *


108. The expenditure of the family in a month is given in the figure below

If the difference of expenditure between education and travel is ₹ 4000, then what will be the total income of the family?

  • Option : B
  • Explanation : (B) Given, difference of expenditure between education and travel = ₹ 4000
    ⇒ 25% - 15% = 4000
    ⇒ 10% = 4000
    ⇒ 100% = (4000 × 100)/10 = ₹ 40000
Cancel reply

Your email address will not be published. Required fields are marked *


Cancel reply

Your email address will not be published. Required fields are marked *


109. The SI unit of heat is

  • Option : A
  • Explanation : (A) Heat is the form of energy, transferred between two systems by virtue of temperature difference. The SI unit of heat energy transferred is expressed is joule (J). CGS unit of energy (work) is erg and for heat transferred it is calorie watt is the unit of power.
Cancel reply

Your email address will not be published. Required fields are marked *


Cancel reply

Your email address will not be published. Required fields are marked *


110. If P, F and A represent pressure, force and area respectively, then

Cancel reply

Your email address will not be published. Required fields are marked *


Cancel reply

Your email address will not be published. Required fields are marked *