CTET Solved Paper - UPTET October 2017 Paper2

Avatto > > CTET > > CTET Solved Paper > > UPTET October 2017 Paper2

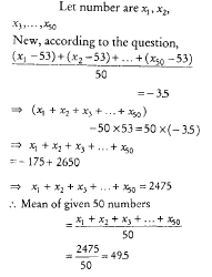
101. There are 50 numbers. Each number is subtracted from 53 and the mean of the numbers so obtained is -3.5. The mean of the given numbers is

Cancel reply

Your email address will not be published. Required fields are marked *


Cancel reply

Your email address will not be published. Required fields are marked *


102. Ten observations 5, 9, 14, 15, x+1, 2x-13, 28, 30, 02, 34 are written in ascending order. The median of the data is 24. Find the value of x.

Cancel reply

Your email address will not be published. Required fields are marked *


Cancel reply

Your email address will not be published. Required fields are marked *


103. 44 cows can graze a field in 9 days. How many less/more cows will graze the same field in 12 days?

  • Option : C
  • Explanation : (C) Let X cows can graze a field on 12 days.
    Then, according to the question,
    x × 12 = 44 × 9
    ⇒ X = (44 × 9)/12 = 396/12 = 33
    So, 44 - 33 = 11 less cows will graze the same field in 12 days.
Cancel reply

Your email address will not be published. Required fields are marked *


Cancel reply

Your email address will not be published. Required fields are marked *


104. Which of the following statements is true?

  • Option : A
  • Explanation : (A) Different branches of mathematics, viz., algebra, geometry, etc., are dependent on each other.
Cancel reply

Your email address will not be published. Required fields are marked *


Cancel reply

Your email address will not be published. Required fields are marked *


105. Which among the following is the best pedagogical way to teach Mathematics?

  • Option : A
  • Explanation : (A) Motivate the learners to develop their existing capabilities
Cancel reply

Your email address will not be published. Required fields are marked *


Cancel reply

Your email address will not be published. Required fields are marked *