CTET Solved Paper - UPTET December 2016 Paper2

Avatto > > CTET > > CTET Solved Paper > > UPTET December 2016 Paper2

126. It is proposed to build a single circular park equal in area to the sum of areas of two circular parks of diameters 16 m and 12 m. The radius of the new park would be

  • Option : A
  • Explanation : (A) Let 'R' be the radius of the new circle. Area of new circular park = Area of circle 1 of diameter 16 m + Area of circle 2 of diameter 12 m
    ⇒ πR2 = π(8)2 + π(6)2 [∵ R1 = 16/2 = 8 R2 = 12/2 = 6]
    ⇒ πR2 = 64π + 36π
    ⇒ πR2 = 100π
    ⇒ R2 = 100 ⇒ R = 10 m
Cancel reply

Your email address will not be published. Required fields are marked *


Cancel reply

Your email address will not be published. Required fields are marked *


127. An edge of a cube measures r cm. If the largest possible right circular cone is cut out of this cube, then the volume of the cone (in cm3) is

Cancel reply

Your email address will not be published. Required fields are marked *


Cancel reply

Your email address will not be published. Required fields are marked *


128. If 1350 is divided by 14, the remainder is

Cancel reply

Your email address will not be published. Required fields are marked *


Cancel reply

Your email address will not be published. Required fields are marked *


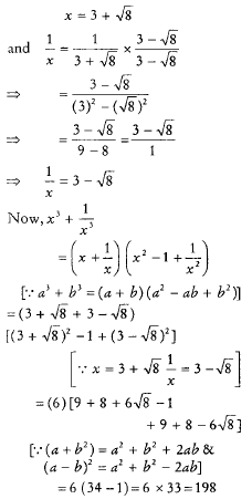
129. If x = 3 + √8, then value of is

Cancel reply

Your email address will not be published. Required fields are marked *


Cancel reply

Your email address will not be published. Required fields are marked *


130. Factors of x2 + 3√2x + 4 are

  • Option : B
  • Explanation : (B) x2 + 3√2x + 4
    = x2 + 2√2x + √2x + 4
    = x(x + 2√2) + √2 (x + 2√2)
    = (x + 2√2)(x + √2)
Cancel reply

Your email address will not be published. Required fields are marked *


Cancel reply

Your email address will not be published. Required fields are marked *