CTET Solved Paper - UPTET December 2016 Paper2

Avatto > > CTET > > CTET Solved Paper > > UPTET December 2016 Paper2

146. Out of 12 observations arranged in ascending order, the sixth and seventh observations are 14 and 15 respectively. find the median of all the 12 observations.

Cancel reply

Your email address will not be published. Required fields are marked *


Cancel reply

Your email address will not be published. Required fields are marked *


147. Find the least number of square tiles required to pave the floor of a room 15 m 17 cm long and 9 m 2 cm broad.

Cancel reply

Your email address will not be published. Required fields are marked *


Cancel reply

Your email address will not be published. Required fields are marked *


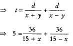
148. A motor boat whose speed is 15 km/h in still water goes 36 km upstream and comes back to the starting point in 5 hours. Find the speed of the stream.

  • Option : D
  • Explanation : (D) Let the sped of the stream be 'x' km/h
    Speed of the motor boat in still water = 15 km/h
    ∴ Speed of the motor boat in upstream = (15 - x) km/h
    Speed of the motor boat in downstream = (15 + x) km/h
    Total time take by the motor boat = 5h
    Distance covered by motor boat in upstream = 36 km
    Hence, distance covered by motor boat in downstream = 36 km

    5(15 + x) (15 - x) = 36[15 -x + 15 + x]
    5[(15)2 -x2] = 36 (30) [∵ (a + b)(a - b) = a2 - b2]
    (225 -x2) = 36 × 6 225 - 216 = x2
    x 2 = 9
    x = 3 km/h (speed of the stream)
Cancel reply

Your email address will not be published. Required fields are marked *


Cancel reply

Your email address will not be published. Required fields are marked *


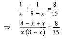
149. The sum of two natural number is 8. Determine the numbers if the sum of their reciprocals is

  • Option : A
  • Explanation : (A) Let the two numbers be x and (8 - x)
    Then,

    ⇒ 15 × 8 = 8x(8 - x)
    ⇒ 120 = 64x - 8x2
    ⇒ 8x2 - 64x + 120 = 0
    ⇒ x2 - 8x + 15 = 0
    ⇒ x2 -5x - 3x + 15 = 0
    ⇒ x(x - 5) - 3(x - 5) = 0
    ⇒(x - 3) (x - 5) = 0
    ⇒ x = 3, 5
    Hence, the two natural numbers are 3 and 5
Cancel reply

Your email address will not be published. Required fields are marked *


Cancel reply

Your email address will not be published. Required fields are marked *


150. The ratio of two numbers is 5:6 and their HCF is 12. Their LCM is

  • Option : D
  • Explanation : (D) Let the two numbers be 5x and 6x
    ∵ HCF of 5x and 6x is 12
    ∴ Number are 5 × 12 = 60
    and 6 × 12 = 72
    LCM of 60 and 72 is

    LCM of 60 and 72 is 2 × 2 × 2 × 3 × 3 × 5 = 360
Cancel reply

Your email address will not be published. Required fields are marked *


Cancel reply

Your email address will not be published. Required fields are marked *