CTET Solved Paper - UPTET December 2016 Paper2

Avatto > > CTET > > CTET Solved Paper > > UPTET December 2016 Paper2

121. The Oxidation state of iron in Fe(CO)3 is

  • Option : A
  • Explanation : (A) The oxidation number of iron in Fe(CO)3 is
    Oxidation state of Fe  = x (let)
    ∴ x + 5 × 0 = 0
    Because CO is neutral molecule.
Cancel reply

Your email address will not be published. Required fields are marked *


Cancel reply

Your email address will not be published. Required fields are marked *


122. Compound responsible for temporary hardness of water is

  • Option : A
  • Explanation : (A) Temporary hardness of water is because of the presence of bicarbonate of calcium and magnesium. It can be easily removed by just boiling and filtering the water.
Cancel reply

Your email address will not be published. Required fields are marked *


Cancel reply

Your email address will not be published. Required fields are marked *


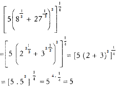
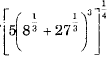
123. The value of is

Cancel reply

Your email address will not be published. Required fields are marked *


Cancel reply

Your email address will not be published. Required fields are marked *


124. The price of petrol increased by 25%. In order that expenses on petrol should not increase, one must reduce travel by

Cancel reply

Your email address will not be published. Required fields are marked *


Cancel reply

Your email address will not be published. Required fields are marked *


125. The diagonals AC and BD of a parallelogram ABCD intersect each other at the point O. If ∠DAC = 320, ∠AOB = 700, Then ∠DBC is equal to

  • Option : C
  • Explanation : (C)

    ∠DAC = 320 and ∠AOB = 700 (given)
    ∠BOC + ∠AOB = 1800 [∵ Liner pair]
    ⇒ ∠BOC + 700 = 1800
    ⇒ ∠BOC = 1800 - 700 = 1100
    ∠ACB = ∠DAC [∵ Alternate angles between the parallel lines]
    ⇒ ∠ACB = 320 [∵ ∠DAC = 320 (given)]
    or ∠OCB = 320
    Now, in △OCB, ∠OCB + ∠BOC + ∠OBC = 1800 [∵ Angle sum property of a triangle]
    ⇒ 320 + 1100 + ∠OBC = 1800
    ⇒ ∠OBC = 1800 - (1100 + 320)
    ⇒ ∠OBC = 380 = x
Cancel reply

Your email address will not be published. Required fields are marked *


Cancel reply

Your email address will not be published. Required fields are marked *