CTET Solved Paper - UPTET December 2016

Avatto > > CTET > > CTET Solved Paper > > UPTET December 2016

81. The writer of "Ganita Saar Sangrah" is

  • Option : C
  • Explanation : (C) The writer of 'Ganita Saar Sangrah' is Mahaviracharya.
Cancel reply

Your email address will not be published. Required fields are marked *


Cancel reply

Your email address will not be published. Required fields are marked *


82. Who has said, "Teacher, with the help of teaching equipment/aids, make teaching stable and interesting"?

  • Option : C
  • Explanation : (C) Mecon and Roberts has said, "Teacher, with the help of teaching equipment/aids, make teaching stable and interesting."
Cancel reply

Your email address will not be published. Required fields are marked *


Cancel reply

Your email address will not be published. Required fields are marked *


83. In teaching mathematics, an "axiomatic methods" does not include

  • Option : C
  • Explanation : (C) Axiomatic methods, in logic, a procedure by which an entire system is generated in accordance with specified rules by logical deduction from certain basic proportion (axioms or postulates), which in turn are constructed from a few terms taken as primitive.
    Genetic method is an alternative to the axiomatic method.
Cancel reply

Your email address will not be published. Required fields are marked *


Cancel reply

Your email address will not be published. Required fields are marked *


84. 'π' is

  • Option : D
  • Explanation : (D) 'π' is an irrational number as is the nearest value of π, not the actual value.
Cancel reply

Your email address will not be published. Required fields are marked *


Cancel reply

Your email address will not be published. Required fields are marked *


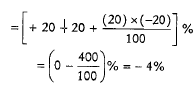
85. Firstly the number 350 is increased by 20% and afterwards decreased by 20%. Ultimately the percentage increase or decrease is

  • Option : B
  • Explanation : (B) When any number is increased and decreased by x%, then the percentage is always decreased.
    Short trick

    = 4% decrement.
    '-' sign shows the decrease in percentage.
Cancel reply

Your email address will not be published. Required fields are marked *


Cancel reply

Your email address will not be published. Required fields are marked *