CTET Solved Paper - UPTET December 2016

Avatto > > CTET > > CTET Solved Paper > > UPTET December 2016

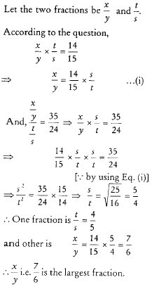
76. If the product of two fractions is and their corresponding division be then the largest fraction is

Cancel reply

Your email address will not be published. Required fields are marked *


Cancel reply

Your email address will not be published. Required fields are marked *


77. Which one of the following is the greatest?

Cancel reply

Your email address will not be published. Required fields are marked *


Cancel reply

Your email address will not be published. Required fields are marked *


78. If 31x5 is a multiple of 9, where x is a digit, then the value of x will be

  • Option : D
  • Explanation : (D) By divisibility test, when the sum of all the digits of a number is divisible by 9, then the number is also divisible by 9.
    Thus 31x5 is a multiple of 9 only when the sum of all the digits of a number is divisible by 9
    ∴ 3 + 1 + x + 5 = 9 + x
    Hence, from the following given options, value of x - 9
    9 + x = 9 + 9 = 18
    and 18 is divisible by 9
    ∴ 195 is a multiple of 9 and x = 9
Cancel reply

Your email address will not be published. Required fields are marked *


Cancel reply

Your email address will not be published. Required fields are marked *


79. Divider is used for

  • Option : D
  • Explanation : (D) To find the length of line segment. Divider is used to find the length of line segment.
Cancel reply

Your email address will not be published. Required fields are marked *


Cancel reply

Your email address will not be published. Required fields are marked *


80. How many squares are there in the given figure?

  • Option : D
  • Explanation : (D) There are 14 squares.
Cancel reply

Your email address will not be published. Required fields are marked *


Cancel reply

Your email address will not be published. Required fields are marked *