CTET Solved Paper - CTET Feburary 2016 Paper2

Avatto > > CTET > > CTET Solved Paper > > CTET Feburary 2016 Paper2

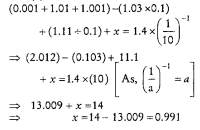
136. If 0.001 + 1.01 + 1.001 - (1.03 x 0.1) + (1.11/0.1) + x = 1.4 x (1/10)-1 , then the value of the x is

Cancel reply

Your email address will not be published. Required fields are marked *


Cancel reply

Your email address will not be published. Required fields are marked *


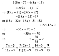
137. If 3(5x - 7) - 4(8x -13) = 2(9x -11) - 17, then the value of (7x - 5)/(11x - 9) is

Cancel reply

Your email address will not be published. Required fields are marked *


Cancel reply

Your email address will not be published. Required fields are marked *


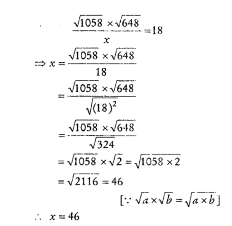
138. If (√1058 x √648)/x = 18, then the value of x is

Cancel reply

Your email address will not be published. Required fields are marked *


Cancel reply

Your email address will not be published. Required fields are marked *


139. The value of m such that (2/9)3 x (4/81)-6 = (2/9)2m-1 is

Cancel reply

Your email address will not be published. Required fields are marked *


Cancel reply

Your email address will not be published. Required fields are marked *


140. Let x = 597 x 1022 + 73.5 x 1021. When x is expressed in standard form as 6.0435 x 10m , then the value of m is

Cancel reply

Your email address will not be published. Required fields are marked *


Cancel reply

Your email address will not be published. Required fields are marked *