CTET Solved Paper - CTET Feburary 2016 Paper2

Avatto > > CTET > > CTET Solved Paper > > CTET Feburary 2016 Paper2

131. "Open a water tap. Adjust the flow so that it forms a thin stream. Charge a refill. Bring it near the water stream. Observe what happens. Write a short report on the activity."
The skill (s) developed in the students through this activity is/are

  • Option : C
  • Explanation : The skill(s) developed in the students through this activity are observation, experimentation, and creativity.
Cancel reply

Your email address will not be published. Required fields are marked *


Cancel reply

Your email address will not be published. Required fields are marked *


132. How many sides does a regular polygon have if its each angle is of measure 108°?

  • Option : D
  • Explanation : Given, each angle of regular polygon = 108°
    We know,
    Angle of regular polygon = 180° - 360°/n
    ∴ 180° - 360°/n = 108°
    ∴ 180°n - 360° = 108°n
    ⇒ 180°n - 108°n = 360°
    ⇒ 72°n = 360°
    ⇒ n = 360°/72° = 5.
    ∴ Number of sides of the givcn polygon =5.
Cancel reply

Your email address will not be published. Required fields are marked *


Cancel reply

Your email address will not be published. Required fields are marked *


133. ABCD is a quadrilateral in which BD = 40 cm. The lengths of the perpendiculars drawn from the opposite vertices on BD are 16 cm and 12 cm. The area of the quadrilateral (in cm2) is

  • Option : A
  • Explanation : ctetfeb16 q34_a
    ∴ Here, BD divides quadrilateral in two triangles.
    Now,
    Area of ΔABD = 1/2 x BD x AM
    ⇒ 1/2 x 40 x 16 = 320cm2
    Area of ΔBCD = 1/2 x BD x NC
    ⇒ 1/2 x 40 x 16 = 240cm2
    ∴ Area of quadrilateral
    ABCD = 320 + 240 = 560 cm2.
Cancel reply

Your email address will not be published. Required fields are marked *


Cancel reply

Your email address will not be published. Required fields are marked *


134. A square and a circle are formed using pieces of wire of length 5024 cm each. The ratio of the area of the square to that of the circle is

  • Option : D
  • Explanation : ctetfeb16 q36_d
    = 1/(2x2) x Π. = Π/4.
    ∴ Ratio = Π : 4.
Cancel reply

Your email address will not be published. Required fields are marked *


Cancel reply

Your email address will not be published. Required fields are marked *


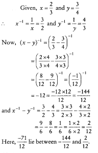
135. If x = 2/3 and y = 3/4, then a rational number between (x - y)-1 and (x-1 - y-1) is

Cancel reply

Your email address will not be published. Required fields are marked *


Cancel reply

Your email address will not be published. Required fields are marked *