Quantitative Aptitude - Numbers and Algebra

Avatto > > Bank Exam > > Practice Questions > > Quantitative Aptitude > > Numbers and Algebra

46. A gardener had a number of shrubs to plant in horizontal rows. At first he tried to plant 5 shrubs in each row, then 6, then 8 and then 12, but had always 1 left. On trying 13, in one row he had none left. What is the smallest number of shrubs that he could have had?

  • Option : A
  • Explanation :

    Number is 120K + 1= ((13 * 9 + 3) K + 1) 
    = 13 * 9K + 3 K + 1, which is divisible by 13.
    3K + 1 is divisible by 13.
     ∴  K = 4. Number = 481

Cancel reply

Your email address will not be published. Required fields are marked *


Cancel reply

Your email address will not be published. Required fields are marked *


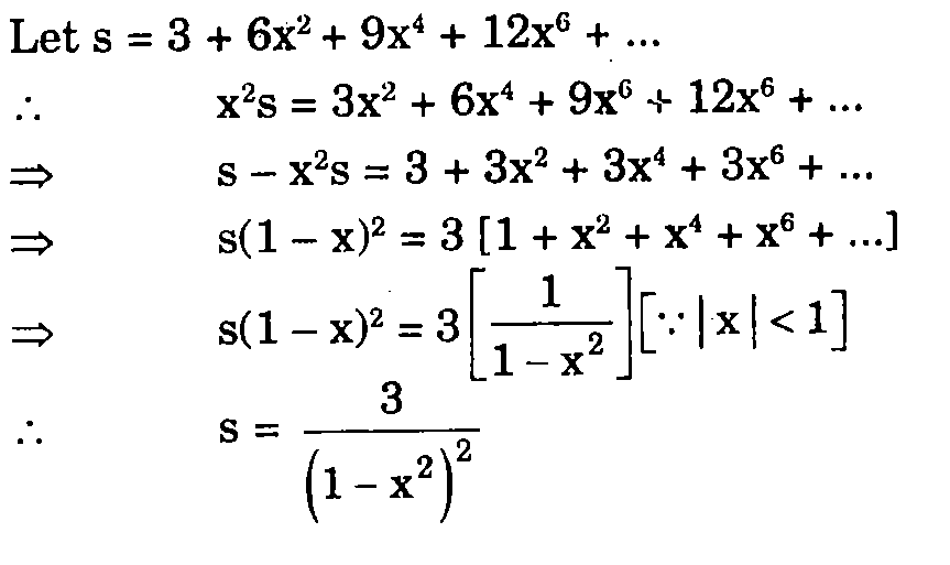
47. What is the sum to infinity of the series, 3 + 6x2 + 9x4 + 12x6 + ... given |x| < 1?

Cancel reply

Your email address will not be published. Required fields are marked *


Cancel reply

Your email address will not be published. Required fields are marked *


48. What is the ratio of common differences d1 and d2 of two arithmetic progressions if respective nth terms are in the ratio of 2n + 3 : n -11?

Cancel reply

Your email address will not be published. Required fields are marked *


Cancel reply

Your email address will not be published. Required fields are marked *


49. A group of four numbers has only one prime number amongst them. Which of the following must be true about the group?
I. HCF of the four numbers of the group is .either 1 or equal to that prime number.
II. LCM of the four numbers of the group is same as product of the prime number and LCM of the remaining three numbers.
III. Product of four numbers is equal to product of the prime number * HCF of the group * LCM of the group.

  • Option : A
  • Explanation : I. In case all the remaining three numbers are multiples of the prime number, HCF of the group is equal to that prime number. otherwise HCF of the group is 1. Thus, I is true.
    II. Case 1: Let numbers be 2, 4, 6 and 8, where 2 is only prime number, then LCM = 24.
    But LCM of 4, 6 and 8 = 24.
    Case 2 : Let numbers be 2, 9, 81 and 27 Then LCM = 162 and LCM of 9, 81 and 27 = 81.
    Thus, LCM = 81 * 2 = 162 Hence II is not always true.
    III. Let numbers be 2, 4, 6 and 8 LCM =24 and HCF = 2 Product of four numbers = 2 *4 * 6 * 8= 384
    Also, 384 ≠ 24 * 2 * 2. Thus, III is not true.
Cancel reply

Your email address will not be published. Required fields are marked *


Cancel reply

Your email address will not be published. Required fields are marked *


Related Quiz.
Numbers and Algebra