21. The probability of drawing an ace or a spade or both from a deck of cards is


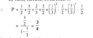
Let A be the event of getting 5 or 6
P(A) = 1/3 and B be the event of getting 1,2,3,4
P(B) = 2/3
In order to get a 'Head' before "5 or 6", the
following events have to occur:
H, TBH, TBTBH, TBTBTBH, ....
