Required Probability = 
= 140/429
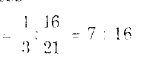
Probability of A's success = 1/3
Again B can draw a ticket in 
Number of ways in which B gets all blanks

Number of ways of getting a prize
= 84 - 20 = 64
Thus, probability of B's success = 
A's probability of success : B's probability
of success

14. The chance that a leap year selected at random will contain 53 Sundays is
Required probability = 2/7