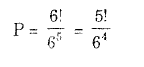
26. Six dice are thrown simultaneously. The probability that all will show different faces is
Total number of ways of occurrence = 65
Required probability, 

Similarly, probability of drawing a white ball
from urn E, if transferred ball is white
