Statistics - Probabilities

Avatto > > ACET > > PRACTICE QUESTIONS > > Statistics > > Probabilities

46. If each observation of raw data whose variance is σ2, is increased by λ, then variance of the new set is

  • Option : B
  • Explanation : When each item is increased by λ, the S.D. is multiplied by |λ| and variance is multiplied by λ2
Cancel reply

Your email address will not be published. Required fields are marked *


Cancel reply

Your email address will not be published. Required fields are marked *


47. If mode of a data is 18 and mean is 24, then median is

Cancel reply

Your email address will not be published. Required fields are marked *


Cancel reply

Your email address will not be published. Required fields are marked *


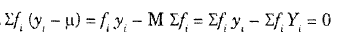
48. If μ is mean of distribution, then Probability

is equal to

Cancel reply

Your email address will not be published. Required fields are marked *


Cancel reply

Your email address will not be published. Required fields are marked *


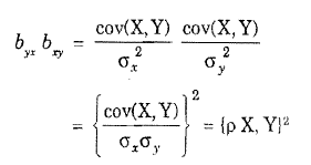
49. byx bxy is equal to

Cancel reply

Your email address will not be published. Required fields are marked *


Cancel reply

Your email address will not be published. Required fields are marked *


50. If cov (X, Y) = 0, then which of the following is negative?

  • Option : D
  • Explanation : Cov (X, Y), byx, bxy and p(X,Y) all are either positive, or 0 or negative simultaneously
Cancel reply

Your email address will not be published. Required fields are marked *


Cancel reply

Your email address will not be published. Required fields are marked *


Related Quiz.
Probabilities