Statistics - Probabilities

Avatto > > ACET > > PRACTICE QUESTIONS > > Statistics > > Probabilities

31. A and B throw alternately with a pair of dice. A wins if he throws 6 before B throws 7 and B wins if he throws 7 before A throws 6. If A begins then his chance of winning is

  • Option : B
  • Explanation : The sum 6 can be obtained as follows:
    (1,5), (2, 4), (3, 3), (4, 2), (5, 1), i.e. in 5 ways.
    Probability of A's throwing 6 with 2 dice = 5/36
    Probability of A's not throwing 6 = 31/36
    Similarly, probability of B's throwing 7 = 6/36, i.e. 1/6
    Probability of B's not throwing 7 = 5/6
    Now A can win, ifhe throws 6 in the first, third,
    fifth, seventh etc. throws.
    Chance of A's winning

    Probability

Cancel reply

Your email address will not be published. Required fields are marked *


Cancel reply

Your email address will not be published. Required fields are marked *


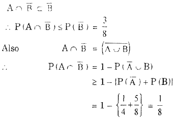
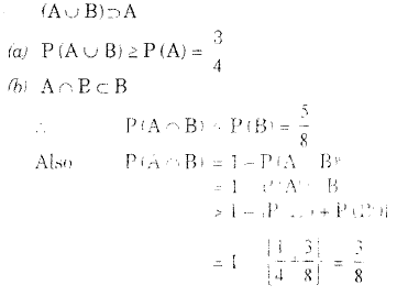
32. If P (A) = 3/4 and P (B) = 5/8, then

Cancel reply

Your email address will not be published. Required fields are marked *


Cancel reply

Your email address will not be published. Required fields are marked *


33. Three machines M1, M2 and M3 produce identical
items. Of their respective output 5%, 4% and 3%
of items are faulty. On a certain day, M1 has
produced 25% of the total output, M2 has produced
30% and M3 the remainder. An item selected at
random is found to be faulty. What are the chances
that it was produced by the machine with the
highest output?

  • Option : C
  • Explanation : Let the event of drawing a faulty item from any of the machines be A, and the event that an item drawn at random was produced by Mi be Bi' To P (Bi/A) proceed as follows:

    Probability

    The highest output being from M3 required probability

    Probability

Cancel reply

Your email address will not be published. Required fields are marked *


Cancel reply

Your email address will not be published. Required fields are marked *


34. In an experiment a coin is tossed 4 times. What is the size of the sample space?

  • Option : C
  • Explanation : Sample space, S = (HHHH, HHHT, HHTH, HHTT, ... , TTTT)
    Clearly,                |S| = 24 = 16
Cancel reply

Your email address will not be published. Required fields are marked *


Cancel reply

Your email address will not be published. Required fields are marked *


35. Which of the following is correct?

Cancel reply

Your email address will not be published. Required fields are marked *


Cancel reply

Your email address will not be published. Required fields are marked *


Related Quiz.
Probabilities