Mathematical Aptitude - Ratio Proportion, Percentage and Discounting

Avatto > > UGC NET PAPER 1 > > PRACTICE QUESTIONS > > Mathematical Aptitude > > Ratio Proportion, Percentage and Discounting

1. A box contains a dozen bulbs in which few are defective and remaining are good. Which of the following cannot be a ratio of defective bulbs to good bulbs?

  • Option : D
  • Explanation : (D) If the ratio is 1 : 4, Then the number of defective bulbs = x and number of good bulbs = 4x
    ∴ x + 4x = 12
    ⇒ 5x = 12
    which is not possible for any integral value of x.
    So, 1 : 4 is not possible.
Cancel reply

Your email address will not be published. Required fields are marked *


Cancel reply

Your email address will not be published. Required fields are marked *


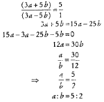
2. If(3a + 5b) : (3a - 5b) = 5 : 1, then the value of a : b will be

Cancel reply

Your email address will not be published. Required fields are marked *


Cancel reply

Your email address will not be published. Required fields are marked *


3. The production of company X is 120% of the production of company Y and 80% of the production of company Z. The respective ratio between the production of companies X, Y and Z is

  • Option : D
  • Explanation : (D) Let the production of Y =100
    Then, production of X =120
    Production of Z =150
    Required ratio of X, Y and X
    =X : Y : Z
    =120 : 100 : 150
    =12 : 10 : 15
Cancel reply

Your email address will not be published. Required fields are marked *


Cancel reply

Your email address will not be published. Required fields are marked *


4. What percentage of 180.50 is 36.1?

  • Option : A
  • Explanation : Lets consider x% of 180.5 = 36.1
    x% = 36.1/180.5
    x = 36.1/180.5 × 100 = 20%
Cancel reply

Your email address will not be published. Required fields are marked *


Cancel reply

Your email address will not be published. Required fields are marked *


5. The price of cooking oil has increased by 25%. The percentage of reduction that a family should effect in the use of cooking oil so as not to increase the expenditure on this account is

  • Option : C
  • Explanation : Let original price = 100
    Original quantity = 100
    Total expenditure = 100 × 100
    New price = 100 + 25 = 125
    New quantity = Q
    As expenditure is to be kept same, 100 × 100 = 125 × Q
    Q = (100 × 100)/125 = 80. % reduction in quantity = 100 - 80 = 20
Cancel reply

Your email address will not be published. Required fields are marked *


Cancel reply

Your email address will not be published. Required fields are marked *



Who can benefit –

  • Any undergraduate or postgraduate student who is seeking Ratio Proportion objective type questions answers can use this section.
  • Ratio Proportion Questions Answers can be used for the preparation of UGC NET Paper1 Exams.
  • Ratio Proportion Multiple Choice questions Answers can help you in interview preparation.
  • Percentage and  Discounting Aptitude Questions are also used by students in the preparation of their Exams.
  • All the teachers who are appearing for Kendriya Vidyalya Sangathan Entrance Exam PGT, TGT, can also use Ratio Proportion Multiple Choice Questions Answers.
  • Profit and Loss Aptitude Questions can also be used by the students who wants to pursue pursuing B.Ed or M. Ed.
  • Any student who wants to prepare for UGC NET Paper1 can also use this Profit and Loss Aptitude Questions .
  • UGC NET first paper students can also prepare for their exams using Ratio Proportion Objective Type Questions Answers.
  • You can get free access to Percentage and  Discounting Aptitude Questions   pdf.
  • You can also have online access to Ratio Proportion Questions Answers EBook.
  • Any student who wants to prepare for UGC NET Paper1, MBA Entrance Exam, CAT, MAT, SAT, Ph. D Entrance Exam, PET, NDA, CDS or any other competitive Exam can also use this Profit and Loss Aptitude Questions .

Various Search Terms used for this section are

  • Ratio Proportion quiz questions with answers

  • Ratio Proportion exam questions answers

  • Percentage and  Discounting Aptitude Questions

  • Ratio Proportion Aptitude Questions  Pdf

  • Profit and Loss Aptitude Questions – Mathematical Aptitude for UGC NET Paper1

  • Ratio Proportion Multiple Choice Questions For Competitive Exams

  • ratio proportion cat questions