Information and Communication Technology - Number System

41. The remainder, when 2851 x(2862)2 x (2873)3 is divided
by 23 is

  • Option : D
  • Explanation : When the numbers 2851, 2862 and 2873 are divided by 23, the remainders are 22, 10 and 21 respectively. Required remainder,

    [when 100, 9261 are.divisible by 23 remainders are 8, 15]

Cancel reply

Your email address will not be published. Required fields are marked *


Cancel reply

Your email address will not be published. Required fields are marked *


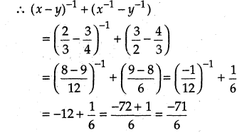
42. If x = 2/3 and y =3/4, then a rational  number (x - y)-l + (x-1_ y-1) is equal to

  • Option : B
  • Explanation : Given, X =2/3. and y =3/4

Cancel reply

Your email address will not be published. Required fields are marked *


Cancel reply

Your email address will not be published. Required fields are marked *


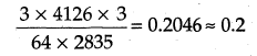
43. the value of is close to

  • Option : C
  • Explanation : Taking approximate values, we have
Cancel reply

Your email address will not be published. Required fields are marked *


Cancel reply

Your email address will not be published. Required fields are marked *


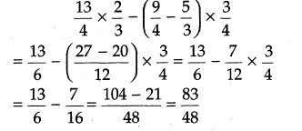
44. If 3/4 of the difference of 21/4 and 1 2/3 is subtracted from 2/3 of 3 1/4 the result is

  • Option : D
  • Explanation : According to the question
Cancel reply

Your email address will not be published. Required fields are marked *


Cancel reply

Your email address will not be published. Required fields are marked *


45. The value of fraction, shown in the given figure, is

  • Option : C
  • Explanation : Value of the fraction = 3/9 = 1/3
Cancel reply

Your email address will not be published. Required fields are marked *


Cancel reply

Your email address will not be published. Required fields are marked *


Related Quiz.
Number System