Information and Communication Technology - Number System

46. The value of the fraction, shown in the given figure, is

  • Option : C
  • Explanation : Value of the fraction = 2/8 = 1/4
Cancel reply

Your email address will not be published. Required fields are marked *


Cancel reply

Your email address will not be published. Required fields are marked *


47. Which of the following is the smallest fraction? 8/25,7/23,11/23,14/53

  • Option : D
  • Explanation : 8/25=0.32, 7/23=0.30,11/23=0.47 and 14/53=0.26 ∴14/53 is the smallest fraction.
Cancel reply

Your email address will not be published. Required fields are marked *


Cancel reply

Your email address will not be published. Required fields are marked *


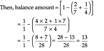
48. If the 2/7th part of a certain sum was donated and 1/4th was spent on education, then the balance amount will be

Cancel reply

Your email address will not be published. Required fields are marked *


Cancel reply

Your email address will not be published. Required fields are marked *


49. Arrangement of the fractions 4/3,-2/9,-7/8,5/12 into ascendingg order is

  • Option : A
  • Explanation : Decimal equivalents of fractions 4/3=1.3,-2/9=- 0.2 -7/8=- 0.875,5/12== 0.42 ∴ - 0.875 < - 0.2 < 0.42 < 1.3 -7/8<-2/9<5/12<4/3
Cancel reply

Your email address will not be published. Required fields are marked *


Cancel reply

Your email address will not be published. Required fields are marked *


50. Which of the following fractions isless than 7/8 and greater than 1/3 ?

  • Option : D
  • Explanation : Given fractions are 1/3 and 7/8 Then, LCM (8, 3) = 24 The given fractions can written as 8/24 and 21/24.From t he given options 17/24 lies between the given two numbers.
Cancel reply

Your email address will not be published. Required fields are marked *


Cancel reply

Your email address will not be published. Required fields are marked *


Related Quiz.
Number System