Data Structures and Algorithms - Performance Analysis of Algorithms and Recurrences

Avatto > > UGC NET COMPUTER SCIENCE > > PRACTICE QUESTIONS > > Data Structures and Algorithms > > Performance Analysis of Algorithms and Recurrences

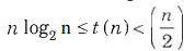
16. When s be a sorted array of n integers, and t(n) denote the time taken for the most efficient algorithm to determine if there are two elements with sum less than 1000 in s, then which of the following statements is true?

Cancel reply

Your email address will not be published. Required fields are marked *


Cancel reply

Your email address will not be published. Required fields are marked *


17. Consider the following functions
f(n) = 3n√n
g(n) = 2n√nlog2n
h(n) = ∠n
Which of the following is true?

Cancel reply

Your email address will not be published. Required fields are marked *


Cancel reply

Your email address will not be published. Required fields are marked *


18. Let f, g, h, k : N → N.
Iff = O(h) and g = O(k), then

Cancel reply

Your email address will not be published. Required fields are marked *


Cancel reply

Your email address will not be published. Required fields are marked *


19. Let f is a total function from N to N and that f' = O(p) for some polynomial function p. When C and D are constants, then for every n

Cancel reply

Your email address will not be published. Required fields are marked *


Cancel reply

Your email address will not be published. Required fields are marked *


20. For any total computable function f : N + N, there is a step-counting functioning so that for every n

Cancel reply

Your email address will not be published. Required fields are marked *


Cancel reply

Your email address will not be published. Required fields are marked *