Statistics - Probabilities

Avatto > > ACET > > PRACTICE QUESTIONS > > Statistics > > Probabilities

6. If A and B are two arbitrary events, then P(A ∩ B) cannot be

Cancel reply

Your email address will not be published. Required fields are marked *


Cancel reply

Your email address will not be published. Required fields are marked *


7. If M and N are two events, then probability that exactly one of them occurs is not equal to

Cancel reply

Your email address will not be published. Required fields are marked *


Cancel reply

Your email address will not be published. Required fields are marked *


8. If A and B are any two events then which one of the following pairs of events,are mutually exclusive?

Cancel reply

Your email address will not be published. Required fields are marked *


Cancel reply

Your email address will not be published. Required fields are marked *


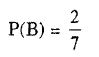
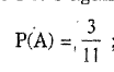
9. There are three events A, B, C one of which must, and only one can happen, the odds are 8 to 3 against A, 5 to 2 against B. The odds against C are

  • Option : A
  • Explanation : Since odds are 8 to 3 against A

                                           Probability  Probability

    and                                   P(A) + P(B) + P(C) = 1

                                            Probability

    Hence odds against C are 43 to 34. 

Cancel reply

Your email address will not be published. Required fields are marked *


Cancel reply

Your email address will not be published. Required fields are marked *


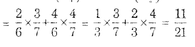
10. There are two bags one of which contains :3 black and 4 white balls while other contains 4 black and:3 white balls. A dies is cast, if the face 1 or 3 t.urns up, a ball is taken from first bag and if any other face turns up, a ball is chosen from second bag. The probability of choosing of black ball is

  • Option : A
  • Explanation : Let E1 be the event that a ball is drawn from
    first bag, E2 the event that a ball is drawn
    from second bag and E the event a black ball
    is chosen, therefore

    probability

     probability

Cancel reply

Your email address will not be published. Required fields are marked *


Cancel reply

Your email address will not be published. Required fields are marked *


Related Quiz.
Probabilities