UGC NET Management Previous Year Solved Papers - June 2019

96. The following statements relate to Mudra Yojana:
Statement I: Mudra is an NBFC supporting development scheme of micro-enterprise sector in the country. It provides refinance support to Bank/MFIs for lending to micro units having loan requirements up to Rs.10 lakh.
Statement II: Mudra has created different products/schemes for refinancing loans. These interventions have been named ‘Shish u’, ‘Kisho re’ and ‘Tarun’ to signify the stage of growth/development and funding needs of the beneficiary micro unit/entrepreneur.
Which of the following options is correct?

  • Option : C
  • Explanation : The MUDRA Bank provides for policy guidelines for micro enterprise financing business. It aims at responsible financing practices to ward off over-indebtedness and refinance to Banks/NBFCs/MFIs. It also provides for formulation/facilitation of Credit Guarantee Scheme for providing guarantees to PMMY loans.
    Micro Units Development and Refinance Agency Ltd. [MU DRA] is an N BFC supporting the development of the micro-enterprise sector in the country. MUDRA provides refinance support to Banks/MFIs for lending to micro units having loan requirement upto 10 lakh.
    MUDRA provides refinance to micro-business under the Scheme of Pradhan Mantri MUDRA Yojana. The other products are for development support to the sector. The bouquet of offerings of MUDRA is depicted below. The offerings are being targeted across the spectrum of beneficiary segments.
Cancel reply

Your email address will not be published. Required fields are marked *


Cancel reply

Your email address will not be published. Required fields are marked *


97. Which of the following statistical techniques should be used when you wish to examine the association between two nominal variables?

  • Option : C
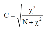
  • Explanation : The test statistic used for hypotheses of group difference with nominal level variables is the chi-square test. To examine a hypothesis of association for two nominal level variables, first, the chi-square test statistic is calculated, and then one or another measure of association is derived from it. In fact, a number of different measures of association exist for use with nominal level variables, all based on the chi-square statistic. Two will be introduced here, one that is quite general and can be used in a range of situations, the contingency coefficient (C), and one that is specialized for use with 2 × 2 tables, the phi coefficient.
    Since nominal variables consist by nature of discrete categories, relating two nominal level variables to each other can only be done using a cross-tabulation, just as was done with hypotheses of group difference. The contingency coefficient (C) can be used with any size cross-tabulation table to provide a descriptive measure of association between the two variables. The C statistic is calculated from the chi-square value:

    The chi-square value is divided by the sum of the chi-square value and the number of people on whom there are data; then the square root of this figure is taken to yield C.
Cancel reply

Your email address will not be published. Required fields are marked *


Cancel reply

Your email address will not be published. Required fields are marked *


98. If Mr. X pays a well-known fashion innovator such as Calvin Klein for the right to use its name on his apparel and accessories, then Mr. X is using which type of branding?

  • Option : D
  • Explanation : Licensing: Most manufacturers take years and spend millions to create their own brand names. However, some companies license names or symbols previously created by other m an ufacturers, nam es of well-kn own celebrities, or characters from popular movies and books. For a fee, any of these can provide an instant and proven brand name.
    Apparel and accessories sellers pay large royalties to adorn their products—from blouses to ties, and linens to luggage—with the names or initials of well-known fashion innovators such as Calvin Klein, Tommy Hilfiger, Gucci, or Armani. Sellers of children’s products attach an almost endless list of character names to clothing, toys, school supplies, linens, dolls, lunch boxes, cereals, and other items.
    Licensed character names range from classics such as Sesame Street, Disney, Peanuts, Winnie the Pooh, the Muppets, Scooby Doo, and Dr. Seuss characters to the more recent Teletubbies, Pokemon, Powerpuff Girls, Rugrats, Blue’s Clues, and Harry Potter characters.
    Almost half of all retail toy sales come from products based on television shows and movies such as Scooby Doo, SpongeBob SquarePants, The Rugrats Move, The Lion King, Batman, Star Trek, Star Wars, Spider- Man, Men in Black or Harry Potter.
    The fastest-growing licensing category is corporate brand licensing, as more and more for-profit and not-for-profit organizations are licensing their names to generate additional revenues and brand recognition. Coca-Cola, for example, has some 320 licensees in 57 countries producing more than 10,000 products, ranging from baby clothes and boxer shorts to earrings, a Coca-Cola Barbie doll, and even a fishing lure shaped like a tiny Coke can. Last year, licensees sold more than $1 billion worth of licensed Coca-Cola products.
Cancel reply

Your email address will not be published. Required fields are marked *


Cancel reply

Your email address will not be published. Required fields are marked *


99. Match List-I with List-II:

List-IList-II
(a) Goal(i) Basic function or task of an organization
(b) Strategy(ii) End towards which an activity is directed
(c) Mission(iii) Adoption of course of action to achieve long term objectives
(d) Rule(iv) Actions or non-actions allowing no discretion
Choose the correct option from those given below:

Cancel reply

Your email address will not be published. Required fields are marked *


Cancel reply

Your email address will not be published. Required fields are marked *


100. The following statements relate to marketing:
Statement I: “For any business enterprise, there are two and only two basic functions: marketing and innovation. These two produce results; all the rest are costs.”
Statement II: “The product concept of marketing holds that business can be managed by maximization of production and the resultant lower unit cost and low price.”
Which of the following options is correct?

  • Option : A
  • Explanation : Because its purpose is to create a customer, the business enterprise has two–and only these two–basic functions: marketing and in novation . Marketing and inno vation produce results; all the rest are “costs.” Marketing is the distinguishing, unique function of the business. A business is set apart from all other human organizations by the fact that it markets a product or a service. Neither church, nor army, nor school, nor state does that. Any organization that fulfills itself through marketing a product or a service is a business. Any organization in which marketing is either absent or incidental is not a business and should never be managed as if it were one.
    The first man in the West to see marketing clearly as the unique and central function of the business enterprise, and the creation of a customer as the specific job of management, was Cyrus H. McCormick (1809-1884). The history books mention only that he invented a mechanical harvester. But he also invented the basic tools of modern marketing: market research and market analysis, the concept of market standing, pricing policies, the service salesman, parts and service supply to the customer, and installment credit. He had done all this by 1850, but not till fifty years later was he first widely imitated even in his own country.
    The revolution of the American economy since 1900 has in large part been a marketing revolution. However, creative, aggressive, pioneering marketing is stil far too rare in American business. Fifty years ago the typical attitude of American busin ess toward marketing was “the sales department will sell whatever the plant produces.” Today it is increasingly, “It is our job to produce what the market needs.” However deficient in execution, the attitude has by itself changed our economy as much as any of the technical innovations of this century. Marketing is so basic that it cannot be considered a separate function (i.e., a separate skill or work) within the business, on a par with others such as manufacturing ring or personnel. Marketing requires separate work and a distinct group of activities. But it is, first, a central dimension of the entire business. It is the whole business seen from the point of view of its final result, that is, from the customer’s point of view. Concern and responsibility for marketing must, therefore, permeate all areas of the enterprise.
    Among American manufacturing companies the outstanding practitioner of the marketing approach may well be IBM; and IBM is also the best example of the power of marketing. IBM does not owe its meteoric rise to technological innovation or product leadership. It was a Johnny-come-lately when it entered the computer field, without technological expertise or scientific knowledge. But while the technological leaders in the early computer days, Univac, GE, and RCA, were product-focused and technology-focused, the punch-card sales people who ran IBM asked: “Who are the customers? What is value for them? How do they buy? And, what do they need?” As a result, IBM took over the market.
Cancel reply

Your email address will not be published. Required fields are marked *


Cancel reply

Your email address will not be published. Required fields are marked *


Related Quiz.
June 2019