Data Structures and Algorithms - Graph Algorithm

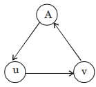
11. Consider the depth-first-search of an undirected graph with 3 vertices P, Q, and R. Let discovery time d(u) represent the time instant when the vertex u is first visited, and finish time f(u) represent the time instant when the vertex u is last visited. Given that
d(P) = 5 units,f(P) = 12 units
d(Q) = 6 units,f(Q) = 10 units
d(R) = 14 unit,f(R) = 18 units
which one of the following statements is TRUE about the graph

  • Option : D
  • Explanation :
    Since d(q) = d(p) + 1 and F(q) < f(P) which means p & q are connected and r is sperate so option (d) is correct answer.
Cancel reply

Your email address will not be published. Required fields are marked *


Cancel reply

Your email address will not be published. Required fields are marked *


12. A depth-first search is performed on a directed acyclic graph. Let d[u] denote the time at which vertex u is visited for the first time and f[u] the time at which the dfs call to the vertex u terminates. Which of the following statements is always true for all edges (u, v) in the graph?

  • Option : D
  • Explanation :

    Suppose v is starting vertex so start DFS at node v
    (i) visit t (v) → DFS(A) → visit (A) → DFS (v) → visit (u) → back track (A) → Back track (v)
    therefore d[v] > d[v], d[v] < f[v] f[v] < f[v]
    But visiting order is just opposite of finishing order.
    Hence f[v] > f[v]
Cancel reply

Your email address will not be published. Required fields are marked *


Cancel reply

Your email address will not be published. Required fields are marked *


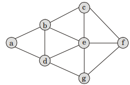
13. Consider the following sequence of nodes for the undirected graph given below:

 1. a b e f d g c
 2. a b e f c g d
 3. a d g e b c f
 4. a d b c g e f
 A Depth First Search (DFS) is started at node a. The nodes are listed in the order they are first visited. Which all of the above is (are) possible output(s)?

  • Option : D
  • Explanation :
    a b e f d g c, a b e f c g d, a d g e b c f are possible dFs traverse of given graph.
Cancel reply

Your email address will not be published. Required fields are marked *


Cancel reply

Your email address will not be published. Required fields are marked *


14. Let G of be a graph with n vertices and m edges. What is the tightest upper bound on the running time of Depth First Search on G, when G is represented as an adjacency matrix?

  • Option : C
  • Explanation :
    DFS visits each vertex once and as it visits each vertex, we need to find all of its neighbours to figure out where to search next. Finding all its neighbour s in an adjacency matrix r equires O(V) time, so overall the running time will be O(V2).
Cancel reply

Your email address will not be published. Required fields are marked *


Cancel reply

Your email address will not be published. Required fields are marked *


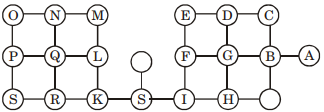
15. Suppose depth first search is executed on the graph below starting at some unknown vertex. Assume that a recursive call to visit a vertex is made only after first checking that the vertex has not been visited earlier. Then the maximum possible recursion depth (including the initial call) is.

  • Option : A
  • Explanation :

    Maximum DFS recurside depth is 19
    A → B → C → D → E → F → G → H → I → J → K
    → L → M → N → O → P → Q → R → S
Cancel reply

Your email address will not be published. Required fields are marked *


Cancel reply

Your email address will not be published. Required fields are marked *