PREVIOUS YEAR SOLVED PAPERS - December 2015 Paper 3

Avatto > > UGC NET COMPUTER SCIENCE > > PREVIOUS YEAR SOLVED PAPERS > > December 2015 Paper 3

16. In Activity - Selection problem, each activity i has a start time si and a finish time fi where si ≤ fi. Activities i and j are compatible if:

  • Option : C
  • Explanation :
    Two activities are compatible if their starting time and finish time does not overlap i.e. their execution must not overlap and starting time of one process must be greater then or equal to second process. i.e. si ≥ fj or sj ≥ fi. So, option (C) is correct.
Cancel reply

Your email address will not be published. Required fields are marked *


Cancel reply

Your email address will not be published. Required fields are marked *


17. Given two sequences X and Y : X = < a, b, c, b, d, a, b > Y = < b, d, c, a, b, a > . The longest common subsequence of X and Y is :

  • Option : D
  • Explanation :
    A subsequence is a sequence that can be derived from another sequence by deleting some elements without changing the order of the remaining elements.
    A sequence G is said to be a common subsequence of X and Y, if Z is a subsequence of both X and Y.
    Here X = <a, b, c, b, d, a, >, the sequences <b,c,a>, <c,a,b>, <b,c,b,a> are subsequences of X.
    Given a second sequence of symbols Y = <b, d, c, a, b, a>, then <b,c,a>, <c,a,b>, <b,c,b,a> are common subsequences to both X and Y.
    However, the longest common subsequence of X and Y is <b,c,b,a>

Cancel reply

Your email address will not be published. Required fields are marked *


Cancel reply

Your email address will not be published. Required fields are marked *


18. If there are n integers to sort, each integer has d digits and each digit is in the set {1, 2, ..., k}, radix sort can sort the numbers in :

Cancel reply

Your email address will not be published. Required fields are marked *


Cancel reply

Your email address will not be published. Required fields are marked *


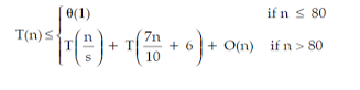
19. The solution of the recurrence relation

Cancel reply

Your email address will not be published. Required fields are marked *


Cancel reply

Your email address will not be published. Required fields are marked *


20. Floyd-Warshall algorithm utilizes __________ to solve the all-pairs shortest paths problem on a directed graph in __________ time.

  • Option : C
  • Explanation :
    Floyd-Warshall algorithm utilizes dynamic programming to solve the all-pairs shortest paths problem on a directed graph in θ (V3) time.
Cancel reply

Your email address will not be published. Required fields are marked *


Cancel reply

Your email address will not be published. Required fields are marked *


Related Quiz.
December 2015 Paper 3