PREVIOUS YEAR SOLVED PAPERS - December 2015 Paper 3

Avatto > > UGC NET COMPUTER SCIENCE > > PREVIOUS YEAR SOLVED PAPERS > > December 2015 Paper 3

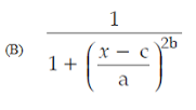
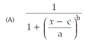
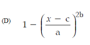
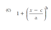
66. A bell-shaped membership function is specified by three parameters (a, b, c) as follows:

  • Option : C
  • Explanation :
    is the bell-shaped membership function by three parameters (a, b, c). So, Option (C) is correct.
Cancel reply

Your email address will not be published. Required fields are marked *


Cancel reply

Your email address will not be published. Required fields are marked *


67. Which of the following is/are the principal components of a memory-tube display?
(a)Flooding gun
(b)Collector
(c)Phosphorus grains
(d)Ground Codes:

  • Option : D
  • Explanation : The principal components of a memory-tube display are flooding gun, collector, phosphorus grains and ground. So, option (D) is correct.
Cancel reply

Your email address will not be published. Required fields are marked *


Cancel reply

Your email address will not be published. Required fields are marked *


68. Which of the following steps is/are not required for analog to digital conversion?
(a)Sensing
(b)Conversion
(c)Amplification
(d)Conditioning
(e)Quantization
Codes:

  • Option : D
  • Explanation :
    Analog to digital conversion required: Sampling, quantization, amplification and conversion. b, c, e steps are included in analog to digital conversion. No permutation of option is correct. So, option (D) is correct.
Cancel reply

Your email address will not be published. Required fields are marked *


Cancel reply

Your email address will not be published. Required fields are marked *


69. Which raster locations would be chosen by Bresenham’s algorithm when scan converting a line from (1, 1) to (8, 5)?

  • Option : C
  • Explanation :
    Option A and B are not ending at (8, 5) and in option D there is increment of two, which is invalid. Only option C is reaching to (8, 5). For more information Refer:Bresenham’s Line Generation Algorithm Option (C) is correct.
Cancel reply

Your email address will not be published. Required fields are marked *


Cancel reply

Your email address will not be published. Required fields are marked *


70. Consider a unit square centred at origin. The coordinates of the square are translated by a factor (1 / 2, 1) and rotated by an angle of 90°. What shall be the coordinates of the new square?

Cancel reply

Your email address will not be published. Required fields are marked *


Cancel reply

Your email address will not be published. Required fields are marked *


Related Quiz.
December 2015 Paper 3