PREVIOUS YEAR SOLVED PAPERS - GATE 2017 Shift 2

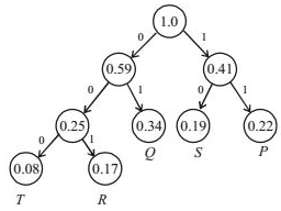
51. A message is made up entirely of characters from the set X= {P, Q, R, S, T}. The table of probabilities for each of the characters is shown below:

CharacterProbability
P0.22
Q0.34
R0.17
S0.19
T0.08
Total1.00
If a message of 100 characters over X is encoded using Huffman coding, then the expected length of the encoded message in bits is_____.


Note – Numerical Type question

  • Option : A
  • Explanation :
    By using haffman tree :

    So, number of bit required for each alphabet:
    T = 3 bit, R = 3 bit, Q = 2 bit, S = 2 bit, P = 2 bit
    Then, average length per character is = (number of bits * frequency of occurance of each alphabets)
    = 3 * 0.08 + 3 * 0.17 + 2 * 0.34 + 2 * 0.19 + 2 * 0.22 = 2.25 bits
    And, average length for 100 character = 2.25 * 100 = 225 bits.
    Hence, 225 bits is correct answer
Cancel reply

Your email address will not be published. Required fields are marked *


Cancel reply

Your email address will not be published. Required fields are marked *


52. The next state table of a 2-bit saturating up-counter is given below.

Q1Q0Q1+Q0+
0001
0110
1011
1111
The counter is built as a synchronous sequential circuit using T flip-flops. The expression for T1 and T0 are

  • Option : B
  • Explanation :
    Q1Q0Q1+Q0+T1T0
    000101
    011011
    101101
    111100
Cancel reply

Your email address will not be published. Required fields are marked *


Cancel reply

Your email address will not be published. Required fields are marked *


53. Consider the set of processes with arrival time (in milliseconds). CPU burst time (in milliseconds), and priority (0 is the highest priority) shown below. None of the processes have I/O burst time.

ProcessArrival TimeBurst TimePriority
P10112
P25280
P31223
P42101
P59164
The average waiting time (in milliseconds) of all the processes using preemptive priority scheduling algorithm is ____.

Note – Numerical Type question

  • Option : A
  • Explanation :
    ProcessATBTPriority
    P10 2
    P25 0
    P312 3
    P42 1
    P59 4


    w.t. = 0 + 0 + ( 33 – 5) + (40 – 2) + (49 – 12) + (51 – 9) = 145
    Avg wt = 145/5 = 29
Cancel reply

Your email address will not be published. Required fields are marked *


Cancel reply

Your email address will not be published. Required fields are marked *


54. For any discrete random variable X, with probability mass function

  • Option : B
  • Explanation :
    Derivative of gx(z) evaluated at z=1 gives expectation E(X) of X.
    Therefore, take derivative of gY(z) with respect to z, and plug in z=1
    Derivative is N.β.(1 - β + βz)(N-1), plug in z=1, gives Nβ.
Cancel reply

Your email address will not be published. Required fields are marked *


Cancel reply

Your email address will not be published. Required fields are marked *


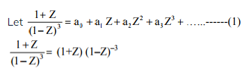
55. If the ordinary generating function of a sequence

  • Option : A
  • Explanation :

    = (1+Z) (1+3Z + 6Z2 + 10Z3 +……….∞)
    Using binomial theorem
    = 1 + 4Z + 9Z2 + 16Z3 + …… ∞………(2)
    From (1) and (2), a0 = 1 and a3 = 16
    ∴ a3 – a0 = 15
Cancel reply

Your email address will not be published. Required fields are marked *


Cancel reply

Your email address will not be published. Required fields are marked *


Related Quiz.
GATE 2017 Shift 2