Common Data for Q. 16 & Q. 17
We are given 9 tasks T1, T2… T9. The execution of each task requires one unit of time. We can execute one task at a time. Ti has a profit Pi and a deadline di profit Pi is earned if the task is completed before the end of the dith unit of time.| Task | T1 | T2 | T3 | T4 | T5 | T6 | T7 | T8 | T9 |
| Profit | 15 | 20 | 30 | 18 | 18 | 10 | 23 | 16 | 25 |
| Deadline | 7 | 2 | 5 | 3 | 4 | 5 | 2 | 7 | 3 |
Generalizing the concept, for n vertices, the levels
of tree that are required will be n.
Memory required at each level (starting from root)
will be 20, 21, 22, .... 2n-1
∴ Minimum size = 20 + 21 + 22, .... 2n-1
= 20(2n-1)/(2-1) = 2n-1
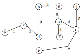
cd is maximum weight edge and it must present
in minimum spanning tree

20. What is the weight of a minimum spanning tree
of the following graph?
Total sum = 1 + 2 + 2 + 2 + 3 + 4 + 4 + 5 + 8 = 31