Algorithms - Algorithm Design Techniques

6. Consider the weighted undirected graph given by with 4 vertices, where the weight of edge {i, j} is the entry Wij in the matrix W.

The largest possible integer value of x, for which at least one shortest path betvveen some pair of vertices will contain the edge with weight x is ________ .

  • Option : A
  • Explanation :

    If we find shortestt path fram C to D then it is 13 currently. So we can use maximum 12 value for x
    so x = 12
Cancel reply

Your email address will not be published. Required fields are marked *


Cancel reply

Your email address will not be published. Required fields are marked *


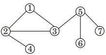
7. The number of articulation points of the following graph is

  • Option : D
  • Explanation :

    there are 3 aoticulation point in the given graph which break the graph in to component.
    {2, 3, 5}
Cancel reply

Your email address will not be published. Required fields are marked *


Cancel reply

Your email address will not be published. Required fields are marked *


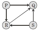
8. Which of the following is the correct decomposition of the directed graph given below into its strongly connected components?

  • Option : B
  • Explanation :
    A graph is said to be strongly connected if there is path from each vertex of graph to every other vertex means every vertex is reachable from every other vertex. The strongly connected component is always maximal that is if A is strongly connected component there should not exist another strongly connected component which contains A
Cancel reply

Your email address will not be published. Required fields are marked *


Cancel reply

Your email address will not be published. Required fields are marked *


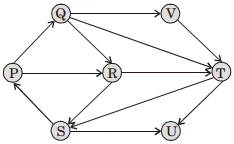
9. Consider the directed graph given below.

 Which one of the following is TRUE?

  • Option : C
  • Explanation :
    Topological ordering of a directed graph is a linear ordering of its vertices such that for every directed edge uv from vertex u to vertex v, u comes before v in the ordering. Topological ordering is possible iff graph has no directed cycles.
    (A) As the given graph doesn’t contain any directed cycles, it has at least one topological ordering. So option (A) is false
    (B) PQRS cannot be topological ordering because S should come before R in the ordering as there is a directed edge from S to R. SRQP cannot be topological ordering, because P should come before Q in the ordering as there is a directed edge from P to Q
    (C) PSRQ and SPRQ are topological orderings as both of then satisfy the above mentioned topological ordering conditions.
    (D) PSRQ is not the only one topological ordering as SPRQ is other possibility.
Cancel reply

Your email address will not be published. Required fields are marked *


Cancel reply

Your email address will not be published. Required fields are marked *


10. Kruskal's algorithm for finding a minimum spanning tree of a weighted graph G with n vertices and m edges has the time complexity of

  • Option : D
  • Explanation :
    For krushkal’s algorithm time complexity is O (log V)
    ∵ E → edges
    ∵ V → ventices
    So O (m log n)
Cancel reply

Your email address will not be published. Required fields are marked *


Cancel reply

Your email address will not be published. Required fields are marked *