Mathematics - Vectors and Matrices

Avatto > > ACET > > PRACTICE QUESTIONS > > Mathematics > > Vectors and Matrices

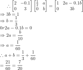
66. If

then (a + b) equals

then (a + b) equals

Cancel reply

Your email address will not be published. Required fields are marked *


Cancel reply

Your email address will not be published. Required fields are marked *


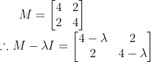
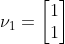
67. The eigen values and the corresponding eigen vectors of a 2 x 2 matrix are given by

Eigenvalue                  

The

eigen value

Eigenvector

eigen vector

eigen vector

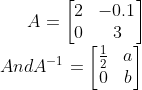
The matrix is

  • Option : A
  • Explanation : Given matrix

    Linear Algebra

    We know,  

    Linear Algebra

    Linear Algebra

     = 4, 8 (eigen values)

    For 1 = 4

    Linear Algebra

    For = 8

        Linear Algebra

Cancel reply

Your email address will not be published. Required fields are marked *


Cancel reply

Your email address will not be published. Required fields are marked *


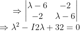
68. For the 

corresponding to the eigen vector

     the 

corresponding to the eigen vector   is

 corresponding to the eigen vector

  • Option : C
  • Explanation : Given matrix

    Linear Algebra

    For the eigen vector  

    Linear Algebra

      Linear Algebra

    Linear Algebra

    = λ = 6 (eigenvalue)

Cancel reply

Your email address will not be published. Required fields are marked *


Cancel reply

Your email address will not be published. Required fields are marked *


69. A second order system starts with an initial condition of   

A second order system starts with an initial condition of

without any external input. The state transition matrix for the system is given by   

A second order system starts with an initial condition of

The state of the end of  1 second is given by

  • Option : A
  • Explanation : The state of the system at time t is,

    Linear Algebra

    At t = 1

     Linear Algebra

Cancel reply

Your email address will not be published. Required fields are marked *


Cancel reply

Your email address will not be published. Required fields are marked *


70. The unit step input u(t) has the state transition matrix

Cancel reply

Your email address will not be published. Required fields are marked *


Cancel reply

Your email address will not be published. Required fields are marked *


Related Quiz.
Vectors and Matrices