then top row of R-1 is
57. Sum of the eigen values of the matrix
is
= summation of element of diagonal of given matrix
=1 + 5 + 1
= 7
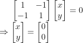
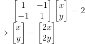
60. Eigen vectors of the matrix
is (are)

i.e. (1 - a)2 - 1 = 0
a2 - 2a = 0
a = 0 or a = 2
when a = 0

this gives x = y
when a = 2,

This gives x = -y
Hence, eigen vectors corresponding to 0 and 2 are
