PREVIOUS YEAR SOLVED PAPERS - GATE 2017 Shift 2

16. Let p, q, r denote the statement “It is raining”, “It is cold”, and “It is pleasant”, respectively. Then the statement “It is not raining and it is pleasant, and it is not pleasant only if it is raining and it is cold” is represented by:

  • Option : A
  • Explanation :
    It is not raining (~p) and it is pleasent (r) : (¬p ∧ r)
    It is raining (p) and it is cold (q) : (p∧q)
    it is not pleasant (¬r) only if it is raining and it is cold : ¬r → (p∧q)
    So the answer should be- (¬ p ∧ r) ∧ ((¬ r → (p ∧ q))
    So, option (A) is true.
Cancel reply

Your email address will not be published. Required fields are marked *


Cancel reply

Your email address will not be published. Required fields are marked *


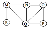
17. The Breadth First Search (BFS) algorithm has been implemented using the queue data structure. Which one of the following is a possible order of visiting the nodes in the graph below? if P is root Node.

  • Option : D
  • Explanation :
    BFS: Start at root (some arbitrary node of a graph, sometimes referred to as “search key”) and explore the neighbor nodes first, before and moving to the next level neighbors.
    by using this we have different :
    POQNMR or PQOMNR
    So only D is correct answer
Cancel reply

Your email address will not be published. Required fields are marked *


Cancel reply

Your email address will not be published. Required fields are marked *


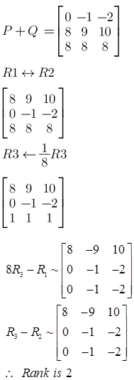
18. Let P = and Q = be two matrices.
Then the rank of P + Q is ____.

Cancel reply

Your email address will not be published. Required fields are marked *


Cancel reply

Your email address will not be published. Required fields are marked *


19. Consider socket API on a Linux machine that supports connected UDP sockets. A connected UDP socket is a UDP socket on which connect function has already been called. Which of the following statements is/are CORRECT?
I. A connected UDP socket can be used to communicate with multiple peers simultaneously.
II. A process can successfully call connect function again for an already connected UDP socket.

  • Option : B
  • Explanation :
    A process with a connected UDP socket can call connect again for that socket for one of two reasons:
    (1) To specify a new IP address and port.
    (2) To unconnect the socket.
Cancel reply

Your email address will not be published. Required fields are marked *


Cancel reply

Your email address will not be published. Required fields are marked *


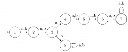
20. The minimum possible number of states of a deterministic automaton that accepts the regular language L = {w1aw2 | w1, w2 ∈ {a,b}*, |w1|=2,|w2|≥3} is _____.

  • Option : A
  • Explanation :
    Answer is 8 states included one trap state(8)and final state(7).

    3rd symbol from start is an 'a'
Cancel reply

Your email address will not be published. Required fields are marked *


Cancel reply

Your email address will not be published. Required fields are marked *


Related Quiz.
GATE 2017 Shift 2