PREVIOUS YEAR SOLVED PAPERS - GATE 2017 Shift 1

6. A contour line joins locations having the same height above the mean sea level. The following is a contour plot of a geographical region. Contour lines are shown at 25m intervals in this plot. If in a flood, the water level rises to 525m, which of villages P, Q, R, S, T get submerged?

  • Option : C
  • Explanation :
    The given contour is a hill station, the peak point of this hill station is P, it is under a contour of 550. At floods, the water level is 525m. So, the village of R, S and T are under a contour of 500. Therefore, these villages are submerged.
Cancel reply

Your email address will not be published. Required fields are marked *


Cancel reply

Your email address will not be published. Required fields are marked *


7. “The hold of the nationalist imagination on our colonial past is such that anything inadequately or improperly nationalist is just not history”
Which of the following statements best reflects the author’s opinion?

  • Option : B
  • Explanation :
    In author’s opinion, it is clearly visible that history is viewed through the filter of nationalism.
Cancel reply

Your email address will not be published. Required fields are marked *


Cancel reply

Your email address will not be published. Required fields are marked *


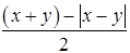
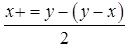
8. The expression

  • Option : B
  • Explanation :
    If x > y; then |x-y| = x-y
    Exp = = ymin
    If x<y; then |x-y| = -(x-y) = y-x
    Exp = = xmin
    The expression
    is equal to minimum of x & y.
Cancel reply

Your email address will not be published. Required fields are marked *


Cancel reply

Your email address will not be published. Required fields are marked *


9. Six people are seated around a circular table. There are at least two men and two women. There are at least three right-handed persons. Every woman has a left-handed person to her immediate right. None of the women are right-handed. The number of women at the table is ?

  • Option : A
  • Explanation :
    Out of six people, 3 places definitely occupied by right handed people as atleast 2 women are there so these two will sit adjacently. Now as only one seat is left it will be occupied by a left handed man because on right side of this seat is sitting an right handed man.

    Therefore, answer should be 2 women.
Cancel reply

Your email address will not be published. Required fields are marked *


Cancel reply

Your email address will not be published. Required fields are marked *


10. Arun, Gulab, Neel and Shweta must choose one shirt each from a pile of four shirts coloured red, pink, blue and white respectively. Arun dislikes the colour red and Shweta dislikes the colour white. Gulab and Neel like all the colours. In how many different ways can they choose the shirts so that no one has a shirt with a colour he or she dislikes?

  • Option : D
  • Explanation :
    Total possibilities =4!=24.
    No. of ways 'Arun chooses red' or 'Shwetha chooses white'
    =(no.of ways `Arun chooses red')
    +(no.of ways `Shwetha chooses white')
    −(no.of ways `Arun chooses red' and `Shwetha chooses white')
    =6+6−2=10
    required =24−10=14
Cancel reply

Your email address will not be published. Required fields are marked *


Cancel reply

Your email address will not be published. Required fields are marked *


Related Quiz.
GATE 2017 Shift 1