PREVIOUS YEAR SOLVED PAPERS - GATE 2017 Shift 1

46. Consider the following two functions.
void fun1 (int n) {
if (n == 0 ) return;
printf (“%d” , n);
fun2 (n - 2); printf (“%d” , n);
}
void fun2 (int n) {
if (n = = 0) return ;
printf (“%d” , n);
fun1(++n) ;
printf (“%d” , n);
}
The output printed when fun1(5) is called is

Cancel reply

Your email address will not be published. Required fields are marked *


Cancel reply

Your email address will not be published. Required fields are marked *


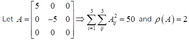
47. Let A be real valued square symmetric matrix of rank 2 with

Consider the following statements.
(I) One eigen value must be in [-5, 5]
(II) The eigen value with the largest magnitude must be strictly greater than 5.
Which of the above statements about eigen values of A is/are necessarily CORRECT?

  • Option : B
  • Explanation :
    ρ(A) = n|A| = 0 ⇒ one eigen value must be ‘0’ ∈ [-5, 5]
    ∴ (I) is true

    but eigen values of A are 0, −5,5
    ∴ The eigen value with the largest magnitude is not greater than 5
    For and Let ⇒ eigen values = 5,5
    ∴ One eigen value must be in [−5,5] and largest eigen value magnitude is not greater than 5
    ∴ (II) is false
Cancel reply

Your email address will not be published. Required fields are marked *


Cancel reply

Your email address will not be published. Required fields are marked *


48. Consider the context-free grammars over the alphabet {a,b,c} given below. S and T are non-terminals
G1: S → aSb|T,T → cT|∈
G2: S → bSa|T,T → cT|∈
The language L(G1)∩L(G2) is

  • Option : B
  • Explanation :
    The Context free grammar given over alphabets ∑{a, b, c} with S and T as non terminals are:
    G1: S → aSb|T,T → cT|∈
    G2: S → bSa|T,T → cT|∈
    Lets L(G1) is the language for grammar G1 and L(G2) is the language for grammar G2
    L(G1) = {ancmbn|n,m ≥ 0}
    L(G2) = {bncman|n,m ≥ 0}
    L(G1) ∩ L(G1) = {cman|m ≥ 0}; which is infinite and regular
Cancel reply

Your email address will not be published. Required fields are marked *


Cancel reply

Your email address will not be published. Required fields are marked *


49. Let X be a Gaussian random variable mean 0 and variance σ2. Let Y = max(X, 0) where max (a, b) is the maximum of a and b. The median of Y is _____.

  • Option : A
  • Explanation :
    ‘X’ is Gaussian random variable
    ⇒ X ∼ N(0, σ2) for -∞ < x < ∞
    Given

    Since median is positional average
    Therefore, median of Y is '0'.
Cancel reply

Your email address will not be published. Required fields are marked *


Cancel reply

Your email address will not be published. Required fields are marked *


50. Consider the Karnaugh map given below, where x represents “don’t care” and blank represents 0.

Assume for all inputs (a, b, c, d) the respective complements (a, b, c, d) are also available. The above logic is implemented 2-input NOR gates only. The minimum number of NOR gates required is _____.

Note – Numerical Type question

  • Option : B
  • Explanation :
    From K-map simplification we get the min-term as CA' . So We can simplify it for NOR gate expression
    i.e. C' NOR A = (C'+A)' = CA'
    Now complemented inputs are also given to us so for 2 input NOR gate we need only 1 NOR gate.
    1 is correct answer
Cancel reply

Your email address will not be published. Required fields are marked *


Cancel reply

Your email address will not be published. Required fields are marked *


Related Quiz.
GATE 2017 Shift 1