6. If P = 3, R = 27, T = 243, then Q + S = ______
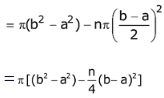
Radius of inner circle = a
Radius of outer circle = b
Radius of small circle = (b - a)/2
area of donut shaped figure = π(b2 – a2)
Area of each small circle =
total area of all small circle= n
Area of remaining portion
